
U. G, P. G. and Research Centre, Department of Chemistry, Shivaji, Art’s, Comm and Science College Kannad, Dist. Chhatrapti Sambhajinagar-431103, M. S. India
*Corresponding author: D. T. Sakhare; *Email: [email protected]
Received: 12 Dec 2024 Revised and Accepted: 25 Feb 2025
ABSTRACT
Objective: The aim of the research is to synthesize and characterize Cu(II) and Mn(II) complexes with a Schiff base ligand and evaluate their antibacterial and antifungal properties.
Methods: The ligand was synthesized by refluxing 2-amino-4,6-dimethylpyrimidine and 5-Nitrosalicylaldehyde in ethanol, forming a yellow-orange product. The complexation reaction involved stirring ethanolic solutions of Cu(II) and Mn(II) salts with a Schiff base ligand. Thermal decomposition of Cu(II) and Mn(II) complexes was analyzed under nitrogen, heating at 30 °C/min, measuring weight loss from ambient temperature to 1000 °C. The antibacterial activity, antioxidant properties, and cytotoxicity of the synthesized compounds were examined using reported methods.
Results: Cu(II) and Mn(II)complexes with a Schiff base ligand were synthesized. Analyzed through Fourier-transform infrared spectroscopy (FTIR), Ultraviolet-visible (UV-vis) and physiochemical tests and confirmed the structures. Magnetic susceptibility and electronic spectra suggested geometries supported by thermogravimetric data. Antibacterial tests revealed complexes had higher activity than ligands and also showed antifungal properties. The ligand and its complexes were screened for their antifungal and antibacterial activity against Aspergillus niger, Penicillium chrysogenum, Fusarium moneliforme, Aspergllus flavus and Escherichia coli, Salmonella typhi, Staphylococcus aureus, B. subtilis. The result indicated that the complexes exhibited good antifungal and antibacterial activities.
Conclusion: Cu(II) and Mn(II) Schiff base complexes were synthesized, showing octahedral geometries. They exhibited thermal stability and strong antibacterial activity, antifungal outperforming the ligand alone.
Keywords: Heterocyclic schiff bases, 5-Nitrosalicylaldehyde, 2-amino-4,6-dimethylpyrimidine, Antimicrobial activity
© 2025 The Authors. Published by Innovare Academic Sciences Pvt Ltd. This is an open access article under the CC BY license (http://creativecommons.org/licenses/by/4.0/)
DOI: http://dx.doi.org/10.22159/ijcr.2025v9i2.248 Journal homepage: https://ijcr.info/index.php/journal
The heterocyclic compounds are widespread and important for many biochemical processes. These compounds are notable for their biological activity and clinical applications. Schiff bases have been the subject of extensive research because they form stable complexes with various transition metal ions and have applications in various fields, from materials science to life science [1-3]. The literature indicates that Schiff base ligands are excellent coordinating ligands. The over the past three decades, considerable attention has been paid to the chemistry of Schiff base complexes containing nitrogen and other donors. This is due to their stability, biological activity, and potential applications in many areas, such as oxidation catalysis [4-6] and electrochemistry, making the behavior of transition metal Schiff base complexes a valuable research topic. The coordination chemistry of amino acid Schiff base ligands is also of great interest due to their biological importance [7-9]. Due to their structure and physicochemical properties, Schiff base complexes of transition metals are often suitable as chemical nucleases. The interaction of these complexes with DNA has attracted considerable attention due to their potential application as new therapeutic agents. The presence and manipulation of the ligands can greatly enhance the interaction between the complexes and DNA, as the ligands affect the reactivity of the transition metal complexes with DNA and can be easily controlled and varied [10-12]. Many potent antibacterial and antifungal Schiff base compounds of heterocyclic compounds have been reported [13-15].
In recent years, numerous studies have reported the synthesis and structural analysis of metal complexes of pyrimidines with bidentate and tridentate ligands (ONO donors) with microbial activity. i. e., from donor ligands and complexes [16, 17]. The pyrimidines have a wide range of biological activities [18-21]. The chelation of metal ions with pyrimidine rings increases their activity due to the ready availability of potential binding sites. The complex metal ions provide information on their coordination properties and provide insights into understanding the role of metal ions in biological systems [22]. A literature survey indicates no work has been done on Schiff base transition metal complexes derived from 2-amino-4,6-dimethylpyrimidine and 5-nitrosalicylaldehyde. In this communication, we report the synthesis of a bidentate Schiff base formed by condensation of 2-amino-4,6-dimethylpyrimidine with 5-nitrosalicylaldehyde (fig. 3). Solid complexes of these ligands with Cu(II) were prepared and characterized using various physicochemical methods.
Reagents and solvents
amino-4,6-dimethylpyrimidine (Aldrich sigma), and 5-Nitrosalicylaldehyde, metal nitrate of AR grade, was used for synthesis of ligand and metal complex.
Synthesis of ligand
The ligand was prepared by a modification of the reported methods [23-25]. The Schiff base ligand has been synthesized by refluxing a mixture of 0.01 mol (1.2015g) of 5-Nitrosalicylaldehyde and 0.01 mol (1.2710 g) of 2-amino-4,6-dimethylpyrimidine in 50 ml super dry ethanol refluxed for about 4h. Schiff base thus formed was cooled to room temperature and collected by filtration, followed by recrystallization in ethanol and dried in vacuo over anhydrous calcium chloride (Yield: 75%).
Synthesis of metal complexes
To a hot ethanol solution (25 ml) of the ligand (2 mol) and (25 ml) of metal Nitrate (1 mol) was added with constant stirring. The pH of reaction mixture was adjusted to 7-8 by adding 10% alcoholic ammonia solution and refluxed for about 3 h. The precipitated solid metal complex was filtered off in hot condition and washed with hot ethanol and dried over calcium chloride in vacuum desiccators. (Yield: 70%).
Physical measurement
IR spectra were recorded on FTIR (ATR)-BRUKER-TENSOR37 spectrometer using KBr pellets in the range of 4000-400 cm-1. 1HNMR Varian mercury 300MHZ spectra of ligand were measured in CDCl3 using TMS as an internal standard. The X-RD were recorded on BRUKER D8 Advance. The TGA-DTA were recorded on Shimadzu. The carbon, hydrogen and nitrogen contents were determined on Elemental model vario EL-III. The UV-visible spectra of the complexes were recorded on model Jasco V-530 UV-Vis spectrometer. Molar conductance of complexes was measured on Elico CM 180 conductivity meter using 10-4 M solution in DMSO. Magnetic susceptibility measurements of the metal chelates were done on a Guoy balance at room temperature using Hg[Co(SCN)4] as a calibrant.
The Schiff bases of 2-amino-4,6-dimethylpyrimidine and its complexes have a variety of applications, including biological, clinical, and analytical. The coordinating possibility of 2-amino-4,6-dimethylpyrimidine has been improved by condensation with a variety of carbonyl compounds. An attempt has been made to synthesize Schiff bases from 2-amino-4,6-dimethylpyrimidine with 5-nitrosalicylaldehyde. Physical characteristics, micro-analysis, and molar conductance data of ligand and metal complexes are given in (table 1 and 2). The analytical data of complexes reveals a 2:1 molar ratio (ligand: metal) and corresponds well with the general formula [ML(H2O)2] (where M= Cu(II). The magnetic susceptibilities of Cu(II) complexes at room temperature are consistent with high spin octahedral structure with two water molecules coordinated to metal ion. The presence of two coordinated water molecules was confirmed by TGA-DTA analysis. The metal chelate solutions in DMSO show low conductance and support their non-electrolyte nature (table 1).
Table 1: Physical characterization, analytical and molar conductance data of compounds
| Compound molecular formula | Mol. Wt. | M. P. Decomp temp. C | Colour | Molar Conduc. Mho Cm2 mol-1 |
|---|---|---|---|---|
| L8 | 227.27 | 175 | Yellow | ---- |
| Cu-L8 | 554.10 | >300 | Dark Gray | 20.10 |
| Mn-L8 | 560.10 | >300 | Faint pink | 23.10 |
Table 2: Elemental analysis of Cu(II) complex
| Compound | Found (Calculated) |
|---|---|
| C | |
| L8 | 68.71 (68.71) |
| Cu-L8 | 56.35 (56.23) |
| Mn-L8 | 56.32 (56.23) |
1H-NMR spectra of ligand
The 1H-NMR. Spectra of free ligand at room temperature show the following signals. 2.35 δ (s, 3H, Methyl hydrogen bonded to pyrimidine ring), 2.35 δ (s, 3H, Methyl hydrogen bonded to phenyl ring), 5.47 δ (s, 1H, Phenolic (OH) hydrogen of pyrimidine ring), 6.77 δ(s, 1H, Hydrogen bonded to pyrimidine ring), 7.84 δ (s, 1H, hydrogen bonded to azomethine carbon), 7.2-7.42 δ (D,4H, Aromatic Ha, Hb, protons of phenyl ring).
IR spectra
The IR spectra of the complexes are compared with that of the ligand to determine the changes that might have taken place during the complexation. The bands at 3363, 1678, 1516, 1309, and 1186 cm-1 assignable to OH (intramolecular hydrogen-bonded), C=C(aromatic), C=N (azomethine), C-N (aryl azomethine) and C-O (phenolic) stretching modes respectively [26-28]. The absence of weak broadband in the 3200-3400 cm-1 region in the spectra of the metal complexes suggests deprotonation of the intramolecular hydrogen-bonded OH group on complexation and subsequent coordination of phenolic oxygen to the metal ion. This is further supported by a downward shift in υ C-O (phenolic) concerning free ligands [29]. The complexation, the (C=N) band is shifted to a lower wave number concerning the free ligand, denoting that the nitrogen of the azomethine group is coordinated to the metal ion [30]. The C-N band is shifted to a lower wave number concerning free ligand. The IR spectra of metal chelates showed new bands in between the 500-600 and 400-500 cm-1 regions which can be assigned to M-O and M-N vibrations respectively [31]. The IR spectra of Cu (II) show a strong band in the 3050-3600 cm-1 region, suggesting the presence of coordinated water in these metal complexes. The presence of coordinated water is further confirmed by the appearance of a non-ligand band in the 830-840 cm-1 region, assignable to the rocking mode of water. The presence of coordinated water is also established and supported by TGA/DTA analysis of these complexes. Hence, it is concluded that the coordination takes place via phenolic oxygen and azomethine nitrogen of the ligand molecule.
Thermogravimetric analysis
The dynamic TGA with the percentage mass loss at different steps have been recorded. The simultaneous TGA/DTA analysis of Cu (II) was studied from ambient temperature to 1000 °C in nitrogen atmosphere using α-Al2O3 as reference. An analysis of the thermogram of the complexes indicated that Cu (II) complexes ligand L8 (fig. 1) show two-step decomposition. The first weight loss 5.61%, in between temp.50-195 °C could be correlated with the loss of two molecules of lattice water (calcd.6.50%). The anhydrous compound does not remain stable at higher temperature, it undergoes rapid decomposition in the range 195-570 °C, with 79.45% mass loss corresponds to decomposition of the complex (calcd.79.14 %) in second step. The decomposition is completed leading to the formation of stable residue of metal oxide CuO obs.11.23% (calcd.14.35%). The kinetic and thermodynamic viz the energy of activation (Ea), frequency factor (Z), entropy change (-S) and free energy change (G) for the non-isothermal decomposition of complexes have been determined by employing Horowitz-Metzger method [32] values are given in table 3. The Calculated values of the given activation energy of the complexes are relatively low, indicating the auto-catalysis effect of metal ion on the thermal decomposition of the complex. The negative value of activation entropy indicates that the activated complexes were more ordered than the reaction was slow. The more ordered nature may be due to the polarization of bonds in the activated state, which might occur through charge transfer transitions [33].
Table 3: The kinetic and thermodynamic parameters for decomposition of metal complexes
| Complex | Step | Decomp Temp (C) | n | Ea (kJmole-1) | Z (S-1) | ΔS (JK-1 mole-1) | ΔG (kJmole-1) | Correlation coefficient |
|---|---|---|---|---|---|---|---|---|
| Mn-L8 | I | 150 | 0.1 | 3.77 | 4.77 ×104 | -177.78 | 12.81 | 0.994 |
| II | 490 | 0.8 | 12.26 | 1.48 ×104 | -172.88 | 28.12 | 0.987 |

Fig. 1: TGA-DTA curve of Mn(II) complex of ligand L8
Magnetic measurements and electronic absorption spectra
The electronic spectral studies of metal complexes of Cu (II)with Schiff bases were carried out in DMSO solution. The absorption spectrum of the Cu(II)complex shows bands at 13812 cm-1 and 30030 cm-1 are assigned to 2B1g→ 2A1g and charge transfer, respectively in an octahedral field [34]. The Cu (II) complexes were diamagnetic in nature.
Molar conductivity measurements
The metal (II) complexes were dissolved in DMSO and the molar conductivity of 10-4M of their solution at room temperature was measured. The lower conductance values of the complexes support their non-electrolytic nature of the compounds.
Powder x-ray diffraction
The x-ray diffractogram of Cu (II) complexes of L8 was scanned in the range 20-80° at wavelength 1.543 Å (fig. 2). The diffractogram and associated data depict the 2θ value for each peak, relative intensity and inter-planar spacing (d-values). The diffractogram of Cu(II) complex of L8 had fifteen reflections with maxima at 2θ = 12.89° corresponding to d value 6.86Å. The x-ray diffraction pattern of these complexes with respect to major peaks of relative intensity greater than 10% has been indexed by using computer programmed [35]. The above indexing method also yields Miller indices (hkl), unit cell parameters and unit cell volume. The unit cell of Cu(II) complex of L8 yielded values of lattice constants, a= 9.76 Å, b=10.24 Å, c = 27.24 Å and unit cell volume V=2722.43096 Å3. In concurrence with these cell parameters, the condition such as a = b = c and α = β =γ = 90 required for sample to be Monoclinic were tested and found to be satisfactory. Hence, it can be concluded that Cu(II) complex has an orthorhombic crystal system. Hence, it can be concluded that the Cu (II) complex of L8 has a monoclinic crystal system. The experimental density values of the complexes were determined by using the specific gravity method [31] and found to be 0.8968 gcm-3 for Cu(II) complexes, respectively. By using experimental density values, a molecular weight of complexes, Avogadro’s number and volume of the unit cell were calculated. Number of molecules per unit cell were calculated by using equation ρ = nM/NV and was found Cu(II) complexes respectively. With these values, theoretical density was computed and found to be 0.8858 gcm-3 for respective complexes. Comparison of experimental and theoretical density shows good agreement within the limits of experimental error [33].
Antibacterial activity
Antibacterial activity and antifungal activity
The Antifungal activity and Antibacterial activity of ligand and metal complexes were tested in vitro against fungal such as Aspergillus niger, Penicillium chrysogenum, Fusarium moneliforme, Aspergillus flavus and bacteria such as E. Coli, B. Subtilis, Staphylococcus aureus and Bacillus subtlis by paper disc plate method [36, 37] The compounds were tested at the concentrations 1% and 2% in DMSO and compared with known antibiotics viz Griseofulvin and Penicillin (table 4 and 5). From table 4 and 5, it is clear that the inhibition by metal chelates is higher than that of a ligand and results are in good agreement with previous findings with respect to the comparative activity of free ligand and its complexes [38]. Such enhanced activity of metal chelates is due to the increased lipophilic nature of the metal ions in complexes. The increase in activity with concentration is due to the effect of metal ions on the normal cell process. The action of compounds may involve the formation of hydrogen bonds with the active centre of cell constituents, resulting in interference with the normal cell process. The antifungal and antibacterial activities of the ligands and metal complexes were tested in vitro against fungi such as Aspergillus niger, Penicillium chrysogenum, Fusarium moneriforme, Aspergillus flavus, and bacteria such as Escherichia coli, Bacillus subtilis, Staphylococcus aureus, and Bacillus subtilis, using paper disc and plate methods [37]. The compounds were tested at 1% and 2% concentrations in DMSO and compared with known antibiotics, namely griseofulvin and penicillin (Tables 4 and 5). Tables 4 and 5 show that the inhibition by the metal chelates is higher than that by the ligands, a result that is in good agreement with previous findings of comparable activity of the free ligands and their complexes [38, 39]. This increase in the activity of the metal chelates is due to the increased lipophilicity of the metal ions in the complexes. The activity, which increases with concentration, is due to the effect of metal ions on normal cellular processes. The action of the compounds may involve the formation of hydrogen bonds with active sites on cellular components, resulting in the disruption of normal cellular processes [40].

Fig. 2: X-ray diffractogram of Mn (II) complex of L8
Table 4: Antifungal activity of ligands
| Test compound | Antigungal growth | |||||||
|---|---|---|---|---|---|---|---|---|
| Aspergillus niger | Penicillium chrysogenum | Fusarium moneliforme | Aspergillus flavus | |||||
| 1% | 2% | 1% | 2% | 1% | 2% | 1% | 2% | |
| L8 | -ve | -ve | -ve | -ve | -ve | -ve | -ve | -ve |
| Cu-L8 | -ve | -ve | -ve | -ve | -ve | -ve | -ve | -ve |
| Mn-L8 | -ve | -ve | -ve | -ve | -ve | -ve | -ve | -ve |
| +ve control | +ve | +ve | +ve | +ve | +ve | +ve | +ve | +ve |
| -ve control (Griseofulvin) | -ve | -ve | -ve | -ve | -ve | -ve | -ve | -ve |
Ligand and Metal:+ve–Growth (Antifungal Activity absent), -ve-Growth (Antifungal Activity present), RG-Reduced Growth (More than 50% reduction in growth observed)
Table 5: Antibacterial activity of ligands and their metal complexes
| Test compound | Diameter of inhibition zone (mm) | |||||||
|---|---|---|---|---|---|---|---|---|
| E. Coli | Salmonella typhi | Staphylococcu saureus | Bacillus subtlis | |||||
| 1% | 2% | 1% | 2% | 1% | 2% | 1% | 2% | |
| L8 | 14.00±00 | 18.00±00 | 16.00±00 | 18.00±00 | 20.00±00 | 25.00±00 | 19.00±00 | 22.00±00 |
| Cu-L8 | 11.45±0.35 | 16.67±0.45 | 15.63±0.55 | 16.45±0.35 | 14.38±0.33 | 22.56±0.64 | 15.38±0.23 | 18.65±0.39 |
| Mn-L8 | 14.67±0.45 | 16.90±0.70 | 13.76±0.56 | 16.80±0.46 | 17.76±0.55 | 22.70±0.65 | 11.69±0.67 | 18.78±0.57 |
| DMSO | -ve | -ve | -ve | -ve | -ve | -ve | -ve | -ve |
| Penicillin | 14.59±0.34 | 14.88±0.58 | 17.48±0.36 | 19.56.±0.65 | 21.11±09 | 23.34±0.43 | 19.46±0.34 | 22.10±06 |
Results provided as mean±SD (This experiment done three times, n=3), Ligand and Metal:-ve-No Antibacterial Activity, Zone of inhibition---mm

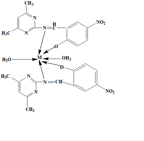
Fig. 3: Structure of ligand

Fig. 4: The proposed structure of the complexes When M= Cu (II) and Mn (II)
In the light of above discussion, we have proposed octahedral geometry for Cu (II) and Mn (II) complexes. On the basis of the physico-chemical and spectral data discussed above, one can assume that the ligand behave as dibasic, NO bidentate, coordinating via phenolic oxygen and imino nitrogen as illustrated in fig. 4. The complexes are biologically active and show enhanced antimicrobial activities compared to free ligand. Thermal study reveals thermal stability of complexes. The X-ray study suggests orthorhombic crystal system for Cu (II) and Mn (IIcomplexes.
The authors are grateful thank to sophisticated analytical instrument facility (SAIF), sophisticated test and instrument center (STIC), Kochi for providing an elemental analysis (CHN). We are also grateful thank to Department of Chemistry, Pune University Pune for providing IR, NMR spectroscopy and TGA-DTA facilities, Department of Physics, Pune University Pune for providing X-RD facilities and we are also grateful thank to Department of Microbiology N. S. B. College Nanded for providing Antibacterial and Antifungal activities.
The funding does not received any funding agencies.
D. T. Sakhare is the sole author. The author read and approved the final manuscript.
The authors declare no conflicts of interest.
Sakhare DT. Synthesis characterization of some transition metal complexes of bidentate Schiff base and their antifungal and antimicrobial studies. Adv Appl Sci Res. 2015;6(6):10-6.
Sakhare DT. Synthesis characterization and antimicrobial activity of schiff base derived from 2-hydroxybenzaldehyde with 2-amino-4,6-dimethylpyrimidin and their transition metal complexes GIS. Sci J. 2022;9(4):82-94.
Raman N, Muthuraj V, Ravichandran S, Kulandaisamy A. Synthesis characterization and electrochemical behaviour of Cu (II) Co (II) Ni (II) and Zn (II) complexes derived from acetylacetone and p-anisidine and their antimicrobial activity. J Chem Sci. 2003;115(3):161-7. doi: 10.1007/BF02704255.
Sakhare DT. Synthesis characterization and antimicrobial activities of some Mn (II) and Fe (III) complexes of biologically active bidentate ligands. J Chem Pharm Res. 2015;7(6):198-204.
Sakhare DT. Copper metal complexes of a pyrimidine-based Schiff base ligand synthesis characterization and biological activity. J Xidian Univ. 2022;16(3):191-201.
Thaker BT, Tnadel PK, Patel AS, Vyas CJ, Jesani MS, Patel DM. Indian J Chem. 2005;44A:265.
Sakhare DT. Synthesis characterization and biological studies of aminopyrimidine Schiff bases and their transition metal complexes. Dickensian. 2022;22(4):65-77.
Singh NK, Singh DK, Singh SB. Synth Inorg Met J Org Chem. 2002;32:703.
Sakhare DT. Synthesis characterization and biological activities of new bidentate Schiff base ligand and their Co (II) metal complexes. Mater Today Proc. 2024. doi: 10.1016/j.matpr.2024.04.038.
Sakhare DT. Synthesis characterization and in vitro biological activities of novel bidentate schiff base ligand and their cobalt (II) complexes. Juni Khyat. 2023;13(3):134-43.
Liu J, Zhang H, Chen C, Deng H. Dalton Trans. 2003:114-9.
Sakhare DT. Synthesis characterization and biological activity of new Schiff bases 1-(4,6-Dimethylpyrimidin-2-Yl) imino) methyl)Naphthalen-2-ol and their Fe (III) complexes. Juni Khyat. 2024;14,9;2:101-11.
Mohamed GG, Umar MM, Spectrochim AA 62; 2005. p. 1140.
Sakhare DT. Synthesis characterization and antimicrobial activity of Cu (II) complexes derived from heterocyclic Schiff bases ligands. Asian J Org Med Chem. 2022;7(2):41-7.
Raman N, Thalamuthu S, Dhaveethuraja J, Neelakandan MA, Banerjee S. J Chil Chem Soc. 2008;53:21.
Baraldi PG, Pavani MG, Nunes N, Brigidi P, Vitali B, Gambari R. Pharm. 2022;10:449.
Sakhare DT. Synthesis spectral thermal and antimicrobial activities of Mn (II) and Fe (III) Schiff base metal complexes. Int J Curr Res Chem Pharm Sci. 2015;2(7):1-8.
Sondhi SM, Johar M, Rajvanshi S, Dastidar SG, Shukla R, Raghubir R. Aust J Chem. 2001;54(1):69. doi: 10.1071/CH00141.
Sakhare DT. Synthesis characterization of some Cu (II) complexes of bidentate Schiff base and their antimicrobial studies. J Med Chem Drug Discov. 2016;2(1):583-97.
Mangalagiu G, Ungureanu M, Grosu G, Mangalagiu I, Petrovanu M. New pyrrolo pyrimidine derivatives with antifungal or antibacterial properties in vitro. Ann Pharm Fr. 2001;59(2):139-40. PMID 11320339.
Sakhare DT. Green synthesis characterization and biological evaluation of divalent transition metal complexes of substituted aminopyrimidine novel Schiff base ligand science. J Chem. 2025;13(1):1-10.
Sakhare DT. Synthesis characterization and antimicrobial studies of some transition metal complexes of Schiff bases. Int J Curr Res Chem Pharm Sci. 2015;2(6):28-34.
Sakhare DT. Synthesis characterization and antimicrobial activities of aminopyrimidine schiff base ligand and their complexes of Cu (II) and Mn (II) Nigerian. Res J Chem Sci. 2025;13(1):18-31.
Sakhare DT. Syntheses characterization of some transition metal complexes of bidentate Schiff base and their antimicrobial activities. Chem Sin. 2015;6(6):1-6.
Osowole AA, Akpan EJ. Eur J Appl Sci. 2012;4(1):14-20.
Sakhare DT. Synthesis characterization and antimicrobial studies on schiff base derived from 2-amino 4,6-Dihydroxypyrimidine and benzaldehyde and its cobalt complexes. Int J Food Nutr Sci. 2022;11 Suppl 1:970-82.
Osowole AA, Akpan EJ. Synthesis spectroscopic characterisation in vitro anticancer and antimicrobial activities of some metal(ii) complexes of 3-{4, 6-dimethoxy pyrimidinyl) iminomethyl naphthalen-2-ol. Eur J Appl Sci. 2012;4(1):14-20.
Sakhare DT. Synthesis characterization and biological evaluation of Schiff base ligand and their Fe (III) complexes. Int J Adv Sci Eng. 2024;11(1):3788-97. doi: 10.29294/IJASE.11.1.2024.3788-3797.
Osowole AA, Yoade RO. Scientific. J Appl Res. 2013;4:101-6.
Sakhare DT. Synthesis characterization and spectroscopic study of new 3-(4,6-dihydroxy pyrimidin-2-yl) imino] methyl}Napthalen-2-ol schiff base ligand and its transition metal complexes. Int J Sci Res Chem Sci. 2024;11(1):3788-97.
Akila UME, Rajavel R. Int J Recent Sci Res. 2013;4(9):1385-90.
Sakhare DT. Synthesis characterization and antimicrobial studies of some transition metal complexes of schiff bases. Int J Curr Res Chem Pharm Sci. 2015;2(6):28-34.
Avaji PG, Reddy BN, Patil SA, Badami PS. Synthesis spectral characterization biological and fluorescence studies of lanthanum (III) complexes with 3-substituted-4-amino-5-hydrazino-1,2,4-triazole schiff bases. Transition Met Chem. 2006;31(7):842-8. doi: 10.1007/s11243-006-0066-5.
Pargathi M, Reddy KH. Indian J Chem. 2013;52A:845-53.
Sakhare DT. Synthesis characterization and biological activity of new schiff bases derived from aminopyrimidine and their metal complexes. Int J Sci Res Sci Technol. 2022;9(17):160-73.
Sakhare DT. Synthesis characterization and in vitro biological activities of Co (II) Complexes of 2-(4-Methaylbenzylideneamino) pyrimidine-4, 6-Diol. Current Pharma Research. 2019;9(4):3335-44.
Despande VG, Shaha S, Despande MM, Habib SI, Kulkarni PA. Asian J Biochem Pharm Res. 2013;1(3):63-70.
Sakhare DT. Synthesis characterization and antimicrobial activity of novel 2-amino-4,6-dimethylpyrimidin and 2-hydroxy-5-nitrobenzaldehyde schiff base ligand and their transition metal complexes. Int J Adv Appl Res. 2024;5(40):35-44.
Sakhare DT. Synthesis spectroscopic characterization in vitro and antimicrobial activities of some metal (II) complexes of 5-choloro-2-(((4,6-dimethoxypyrimidin-2-yl) imino) methyl) phenol. International Journal of Scientific Research in Chemistry. 2024;9(6):1-9.
Sakhare DT. Synthesis characterization and antimicrobial activities of some transition metal complexes of biologically active bidentate ligands. Inorg Chem Indian J. 2015;10(4):142-7.