
Department of Chemistry, Shivaji, Art’s, Comm. and Science College Kannad, Chhatrapti Sambhajinagar-431103, (M. S.) India
*Corresponding author: D. T. Sakhare; *Email: [email protected]
Received: 19 Aug 2025 Revised and Accepted: 09 Dec 2025
ABSTRACT
Objective: The aim of the research is to synthesize and characterize Ni(II), and Co(II) complexes with a Schiff base ligand, and evaluate their anti-fungal andantibacterial activity.
Methods: The ligand was synthesized by refluxing 3,5-diiodosalicyaldehyde and 2-amino-4-hydroxy-6-methylpyrimidine in ethanol, forming a yellow product. The complexation reaction involved stirring ethanolic solutions of Ni(II), and Co(II) salts with a Schiff base ligand. Thermal decomposition of Ni(II), and Co(II) complexes was analyzed under nitrogen, heating at 30 °C/min, measuring weight loss from ambient temperature to 1000 °C. The Antifungal activity and antibacterial activity of the synthesized compounds wereexamined using reported methods.
Results: Ni(II), and Co(II) complexes with a Schiff base ligand were synthesized. Analyzed through Fourier-transform infrared spectroscopy (FTIR), Ultraviolet-visible (UV-vis) and physiochemical tests and confirmed the structures. Magnetic susceptibility and electronic spectra suggested geometries, supported by thermogravimetric data. Antibacterial tests revealed complexes had higher activity than ligands, and also showed anti-fungal properties. The ligand and its complexes were screened for their anti-fungal and antibacterial activity against Aspergillus niger, Penicillium chrysogenum, Fusarium moneliforme, Aspergllus flavus and Escherichia coli, Salmonella typhi, Staphylococcus aureus, B. subtilis. The result indicated that the complexes exhibited good antifungal and antibacterial activities.
Conclusion: Ni(II), and Co(II) Schiff base complexes were synthesized, showing octahedral geometries. They exhibited thermal stability and strong antibacterial activity, antifungal outperforming the ligand alone.
Keywords: Heterocyclic schiff bases, 3,5-diiodosalicyaldehyde, 2-amino-4-hydroxy-6-methylpyrimidine, Biological activity
© 2026 The Authors. Published by Innovare Academic Sciences Pvt Ltd. This is an open access article under the CC BY license (http://creativecommons.org/licenses/by/4.0/)
DOI: http://dx.doi.org/10.22159/ijcr.2026v10i1.323 Journal homepage: https://ijcr.info/index.php/journal
The emergence and spread of bacterial antibiotic resistance have prompted intensive research efforts to identify new antimicrobial agents capable of addressing this growing surge [1]. While organic-based antimicrobial agents have been extensively studied, their efficacy has been compromised by the development of resistance mechanisms by bacteria. Thus, alternative strategies, such as metal-based antimicrobial agents, need to be explored, as they offer promising solutions in combating antibiotic-resistant bacteria [2]. The nickel complexes have gained significant attention among metal-based antimicrobial agents due to their potent antimicrobial properties. Nickel exhibits broad-spectrum activity and exerts its antimicrobial effects through multiple mechanisms, making it an attractive candidate for the development of novel antimicrobial agents. One approach to enhancing the antimicrobial activity of nickel complexes is the utilization of halogen-substituted Schiff base ligands [3]. Halogen substitution in organic compounds has been widely explored in drug design and development due to the diverse chemical and biological properties imparted by halogens [4]. In the context of antimicrobial agents, halogen-substituted compounds have shown enhanced activity against drug-resistant bacteria. The introduction of halogens, such as chlorine, bromine, or iodine, into the chemical structure of ligands, can modulate their physicochemical properties and improve their interaction with bacterial targets [5]. Schiff base ligands derived from halogen substituted compounds have demonstrated great potential in metal complexation and antimicrobial activity. These ligands possess unique structural features that facilitate the formation of stable and biologically active nickel complexes. The resulting nickel complexes derived from halogen-substituted Schiff base ligands have exhibited enhanced antimicrobial efficacy, making them promising candidates for addressing bacterial resistance to antibiotics [6]. Several studies have evaluated the antibacterial activity of nickel complexes derived from Schiff base and halogen-substituted Schiff base ligands, demonstrating promising results. For example, the synthesized a series of nickel complexes derived from a Schiff base ligand and evaluated their antibacterial activity against Gram-positive and Gram-negative bacteria. The nickel complexes exhibited potent antibacterial effects, including activity against multidrug-resistant strains [7]. In another study by the cobalt complexes derived from halogen-substituted Schiff base ligands were synthesized and assessed for their antimicrobial activity. The complexes demonstrated significant antibacterial effects against a range of clinically relevant bacterial strains including drug-resistant isolates. The researchers attributed the enhanced antimicrobial activity to the presence of halogen substituents, which increased the lipophilicity and antimicrobial properties of the complexes [[8]. Furthermore, the synthesis and evaluation of cobalt complexes derived from a halogen-substituted Schiff base ligand against methicillin resistant Staphylococcus aureus (MRSA). The cobalt complexes exhibited potent antibacterial activity, surpassing the activity of the parent organic compound. The researchers highlighted the role of halogen substitution in improving the antimicrobial properties of the cobalt complexes [9]. In a recent study the new series of cobalt complexes derived from halogen-substituted Schiff base ligands were synthesized and evaluated for their antibacterial activity. The cobalt complexes demonstrated excellent antimicrobial efficacy against both Gram-positive and Gram-negative bacteria including drug-resistant strains. The researchers attributed the enhanced activity to the presence of halogens, which facilitated improved interactions with bacterial targets [10].
The Pyrimidines represent a class of aromatic compounds composed of carbon and nitrogen atoms in a six-remembered ring which have received considerable attention due to their wide range of biological activities, such as anti-inflammatory inhibitors, anticancer, anti-allergic and analgesics [11-14]. Other studies have found that some pyrimidine derivatives possess activities such as antimicrobial, anti-avian influenza virus (H5NI), anti-herpes simplex virus type-1 (HSV-1), Hepatitis-A virus (HAV), serotonin 5-HT6 receptor antagonist, and anti-arrhythmic agents [15-18]. Pyrimidine analogs are well recognized in medicinal chemistry due to their therapeutic properties. They have already been demonstrated as platelet aggregation inhibitors, antagonists, anti-conceptive and anti-parkinsonism agents [19] as many have found use in clinical practice. Some of the drugs containing pyrimidine nucleus are enazadrem, 5-fluorouracil, stavudine and zidovudine, buspirone, iclaprim, thonzylamine, and aronixil presently in clinical use as anti-psoriatic, anti-cancer, anti-HIV, anti-psycotic, anti-biotic, anti-histaminic, and anti-hyperlipidemic [20-25].
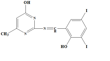
A literature survey indicates that no work has been done on Schiff base transition metal complexes derived from 3,5-diiodosalicyaldehyde and 2-amino-4-hydroxy-6-methylpyrimidine. In this communication, we report the synthesis of a bidentate Schiff base formed by condensation of 3,5-diiodosalicyaldehyde and 2-amino-4-hydroxy-6-methylpyrimidine (fig. 5). Solid complexes of these ligands with Ni(II), and Co(II) were prepared and characterized using various physicochemical methods.
Reagents and solvents
2-amino-4-hydroxy-6-methylpyrimidine and 3,5-diiodosalicyaldehyde were used for synthesis of ligand. The metal nitrate were used for the complex preparation were purchased from Sigma-Aldrich Chemical Company.
Synthesis of ligand
The ligand was prepared by a modification of the reported methods [26]. The Schiff base ligand has been synthesized by refluxing a mixture of 0.01 mol (1.4057 g) of, 3,5-diiodosalicyaldehyde and 0.01 mol (1.2710 g) of 2-amino-4-hydroxy-6-methylpyrimidine in 50 ml super dry ethanol refluxed for about 4h. Schiff base thus formed was cooled to room temperature and collected by filtration, followed by recrystallization in ethanol and dried in vacuo over anhydrous calcium chloride (Yield: 74%).
Synthesis of metal complexes
To a hot ethanol solution (25 ml) of the ligand (2 mol) and (25 ml) of metal Nitrate (1 mol) was added with constant stirring. The pH of reaction mixture was adjusted to 7-8 by adding 10% alcoholic ammonia solution and refluxed for about 3 h. The precipitated solid metal complex was filtered off in hot condition and washed with hot ethanol and dried over calcium chloride in vacuum desiccators. (Yield: Ni(II)=70% and Co(II)= 65%) [27].
Physical measurement
IR spectra were recorded on FTIR (ATR)-BRUKER-TENSOR37 spectrometer using KBr pellets in the range of 4000-400 cm-1. 1H-NMR (Varian mercury 300MHZ) spectra of ligand were measured in DMSO using TMS as internal standard. X-RD was recorded on BRUKER D8 Advance. TGA-DTA was recorded on Shimadzu. The carbon, hydrogen and nitrogen contents were determined on Elemental model vario EL-III. The UV-visible spectra of the complexes were recorded on model UV-1800, SHIMADZU spectrometer. Molar conductance of complexes was measured on Elico CM 180 conductivity meter using 10-4M solution in DMSO. Magnetic susceptibility measurements of the metal chelates were done on a Guoy balance at room temperature using Hg[Co(SCN)4] as a calibrant.
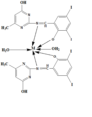
Schiff bases of 2-amino-4-hydroxy-6-methylpyrimidine and its complexes have a variety of applications including biological, clinical and analytical. The coordinating possibility of 2-amino-4-hydroxy-6-methylpyrimidine has been improved by condensing with a variety of carbonyl compounds. An attempt has been made to synthesize Schiff bases from 2-amino-4-hydroxy-6-methylpyrimidine with 3,5-diiodosalicyaldehyde. Physical characteristics, micro-analytical, and molar conductance data of ligand and metal complexes are given in (table 1 and 2). The analytical data of complexes revels 2:1 molar ratio (ligand: metal) and corresponds well with the general formula [ML2(H2O)2] [where M= Ni(II), and Co(II)]. The magnetic susceptibilities of Ni(II), and Co(II)complexes at room temperature are consistent with high spin octahedral structure with two water molecules coordinated to metal ion. The presence of two coordinated water molecules was confirmed by TG-DTA analysis. The metal chelate solutions in DMSO show low conductance and supports their non-electrolyte nature (table 1).
Table 1: Physical properties of schiff base ligands (L1) and their metal complexes
| Compound molecular formula | Mol. Wt. | M. P. Decomp temp. 0C | Colour | Molar conductance Scm2 mol-1 |
| L1 | 448 | 98 | Yellow | --- |
| Ni-L1 | 972.69 | >300 | Dark Yellow | 15.11 |
| Co-L1 | 996.93 | >300 | Dark Yellow | 17.20 |
Table 2: Elemental analysis of Ni(II) and Co(II) complex
| Compound | % Found (Calculated) | |||
| C | H | N | M | |
| L1 | 51.52(52.11) | 3.58(3.75) | 16.54(16.79) | ---- |
| Ni-L1 | 46.42(47.30) | 3.45 (3.42) | 15.10 (15.11) | 9.80(9.86) |
| Co-L1 | 44.45 (44.55) | 3.36 (3.38) | 14.16(14.15) | 9.90(9.89) |
1H-NMR spectra of ligand
The 1H-NMR. Spectra of free ligand at room temperature show the following signals. 5.9 δ (s, 2H, Phenolic (OH) hydrogen of pyrimidine ring), 6.66 δ(s, 1H, Hydrogen bonded to pyrimidine ring), 7.94 δ (s, 1H, hydrogen bonded to azomethine carbon), 7.69-7.28 δ (D,4H, Aromatic Ha, Hb, protons of phenyl ring).
IR spectra
The IR spectrum in Fig.1 and 2 of free ligands shows characteristic bands at 3623, 1638, 1487,1210 and 1089 cm-1 assignable to υOH (Hydrogen-bonded O–H stretch), υ C=N (azomethine), υ C=C(aromatic), υ C-N (aryl azomethine) and υ C-O (Enolic) stretching modes respectively [28] The absence of a weak broad band in the 3200-3400 cm-1region, in the spectra of the metal complexes suggests deprotonation of the intermolecular hydrogen bonded OH group on complexation and subsequent coordination of phenolic oxygen to the metal ion. This is further supported by downward shift in υ C-O (phenolic) [29] with respect to free ligand. On complexation,
the υ (C=N) [30] band is shifted to lower wave number with respect to free ligand, denoting that the nitrogen of azomethine group is coordinated to the metal ion. The υ C-N band is shifted to lower wave number with respect to free ligand, The IR spectra of metal chelates showed new bands in between the 500-600 and 400-500 cm-1regions which can be assigned to υ M-O and M-N [31] vibrations respectively The IR spectra of Co(II) show a strong band in the 3050-3600 cm-1 region, suggesting the presence of coordinated water in these metal complexes. The presence of coordinated water is further confirmed by the appearance of non-ligand band in 830-840 cm-1 region, assignable to the rocking mode of water. The presence of coordinated water is also established and supported by TG/DTA analysis of these complexes. Hence it is concluded that the coordination takes place via phenolic oxygen and azomethine nitrogen of ligand molecule in below table 3.
Table 3: Salient features of IR spectral data of ligands and metal complex
| Bond vibrational modes | Hydrogen-bonded O–H stretch (ν) | C = N Azomethine Stretching (ν) | C = C Aromatic ring stretching (ν) | C-N Aryl azomethine stretch (ν) | C-O Enolic stretching (ν) | M-O | M-N |
| L1 | 3623 | 1638 | 1487 | 1210 | 1089 | -- | -- |
| Ni-L1 | 3635.50 | 1637.24 | 1459.20 | 1287.21 | 1080.36 | 502.33 | 450.20 |
| Co-L1 | 3625.55 | 1633.23 | 1451.21 | 1290.22 | 1079.31 | 501.30 | 451.23 |

Fig. 1: Infrared spectra of ligand L1

Fig. 2: Infrared spectra of Co(II) complex of ligand L1
Molar conductance measurements
The conductivity measurements of the complexes were recorded for (10-3 M), the solution of the samples was in (DMSO) at room temperature. The molar conductance values of the complexes showed in (table 4). We concluded from the results that the Ni(II) and Co(II) complexes of the ligand (L₁) have a molar conductivity values in the range (10.5-20.4 Ω-1 mol-1 cm2). Which indicates that complexes are non-ionic therefore, they are considered as non-electrolytes [32].
Magnetic susceptibility
The values of effective magnetic moment of metal complexes were summarized in (table 1), which were measured at room temperature. The Ni(II) and Co(II)complexes have (µeff) in the range (2.81-2.97 B. M) this value is within the range of octahedral geometry [33].
Thermogravimetric analysis
Thermal decomposition studies of complex have been carried out as to corroborate the information obtained from the IR spectral studies to know the presence of water molecule in these complexes as well as to know their decomposition pattern. The simultaneous TGA/DTA analysis of Ni(II) was studied from ambient temperature to 1000 °C in nitrogen atmosphere using α-Al2O3 as reference. An analysis of the thermogram of the complexes indicated that Ni(II) complexes fig. 3 shows two step decomposition. The first weight loss 6.66 0%, in between temp. 55-230 °C could be correlated with the loss of two coordinated water (calculated 6.01 %). The anhydrous compound does not remain stable at higher temperature; it undergoes rapid decomposition in the range 230-650 °C with 79.73 % mass loss corresponds to decomposition of the complex (calcd. 80.70%) in second step.
The decomposition is completed leading to the formation of stable residue of metal oxide NiO obs. 13.12 % (calcd. 13.28 %). The kinetic and thermodynamic viz the energy of activation (Ea), frequency factor (Z), entropy change (-ΔS) and free energy change (ΔG) for the non-isothermal decomposition of complexes have been determined by employing Horowitz-Metzger method [34] values are given in table 4.
The Calculated values of the given activation energy of the complexes are relatively low, indicating the autocatalysis effect of metal ion on the thermal decomposition of the complex. The negative value of activation entropy indicates that the activated complexes were more ordered than the reaction was slow. The more ordered nature may be due to the polarization of bonds in the activated state, which might occur through charge transfer transitions [35].
Table 4: The kinetic and thermodynamic parameters for decomposition of Ni(II)complexes
| Complex | Step | Decomp. Temp. (C) | n | Ea (kJmole-1) |
Z (S-1) |
ΔS (JK-1 mole-1) |
ΔG (kJmole-1) |
Correl-ation coeffici- ent |
| Ni-L1 | I | 433 | 0.9 | 10.42 | 1.26 ×104 | -173.54 | 25.06 | 0.967 |

Fig. 3: TGA-DTA curve of Ni (II) complex of ligand L1
Electronic spectra
The electronic spectra of Schiff base ligand (L1) show absorption bands at (42553 cm-1 and 27027 cm-1) which are attributed to (π→ π*) and (n → π*) transitions respectively, the complex of Co(II) shows band at (42553 cm-1) which due to (π→π*) transition, the band at (23255 cm-1) is due to charge transfer (C. T), the band at (14814 cm-1) is due to the transition 3A2g → 3T2g the complexes are octahedral geometry [36].
X – Ray diffraction studies of metal complexes
The Co(II) complexes of ligand L1 was selected for X-ray powder diffraction studies (Fig.4). X-ray powder data of all the main peaks have been indexed independently by trial and error method. The unit cell data crystal lattice parameters and the data obtained after indexing the powder data is presented in table 4a.
The Co(II) complex of ligand L1 showed sixteen reflections with maxima at 2θ = 9.77° corresponding to d value 4.54Å. The unit cell values of lattice constants are a = 9.564 Å, b = 10.456 Å, c = 11.234 Å, α = β = 90 γ= 120 and unit cell volume V = 972.90452(Å) 3.
Table 4a: Indexed X-ray diffraction data of Co(II) complex of ligand L1
| Peak No. | 2θ (observed) | 2θ (calculated) | d (observed) | d (calculated) | Miller indices of Planes | Relative intensities (%) | ||
| h | k | l | ||||||
| 1 | 6.65786 | 6.63628 | 6.64495 | 6.66544 | -1 | 0 | 1 | 100.00 |
| 2 | 13.78489 | 13.80857 | 3.23302 | 3.22735 | -2 | 3 | 1 | 5.72 |
| 3 | 15.48359 | 15.48257 | 2.88561 | 2.88561 | 0 | 2 | 3 | 6.18 |
| 4 | 18.66505 | 18.64768 | 2.40705 | 2.40908 | 1 | 3 | 1 | 2.22 |
| 5 | 21.30374 | 21.33357 | 2.12031 | 2.11739 | -4 | 4 | 1 | 4.07 |
| 6 | 22.75576 | 22.74044 | 1.99153 | 1.99272 | -2 | 2 | 5 | 1.79 |
| 7 | 24.06751 | 24.05905 | 1.88893 | 1.88948 | -5 | 2 | 0 | 2.70 |
| 8 | 28.54683 | 28.56116 | 1.61197 | 1.61118 | -3 | 2 | 6 | 2.60 |
| 9 | 29.49267 | 29.50032 | 1.5647 | 1.56429 | -2 | 6 | 3 | 5.57 |
| 10 | 31.01021 | 30.99851 | 1.49522 | 1.49568 | 0 | 6 | 1 | 3.53 |
| 11 | 32.08422 | 32.07778 | 1.45025 | 1.45047 | 5 | 1 | 2 | 3.08 |
| 12 | 32.88802 | 32.89497 | 1.41864 | 1.41834 | 4 | 1 | 5 | 2.78 |
| 13 | 34.50318 | 34.49533 | 1.3599 | 1.36014 | -2 | 7 | 3 | 4.04 |
| 14 | 37.49484 | 37.49073 | 1.26553 | 1.26562 | -3 | 5 | 7 | 3.50 |
| 15 | 38.64195 | 38.64348 | 1.23359 | 1.23352 | -2 | 8 | 2 | 2.88 |
| 16 | 39.44056 | 39.43407 | 1.21257 | 1.21271 | -6 | 3 | 6 | 2.43 |
Unit cell data and crystal lattice parameter
a (A) = 9.564, Volume (V) = 972.90452 (A)3
b (A) = 10.456, Density (obs.) = 1.0412 gcm-3
c (A) = 11.234, Density (cal.) = 1.0302 gcm-3
α = 90.00 Z = 1
β = 90.00 Crystal system = Monoclinic
γ = 120.00, Standard deviation (%) = 0.049 Porosity = 1.06%

Fig. 4: X-ray Diffractogram of Co (II) complex of L1
Biological activity
Antibacterial activity and antifungal activity
The Antifungal activity and Antibacterial activity of ligand and metal complexes were tested in vitro against fungal such as Aspergillus niger, Penicillium chrysogenum, Fusarium moneliforme, Aspergillus flavus and bacteria such as E. Coli, B. Subtilis, Staphylococcus aureus and Bacillus subtlis by examined using reported method [37] The compounds were tested at the concentrations 1% and 2% in DMSO and compared with known antibiotics viz Griseofulvin and Penicillin (table 6 and 7). From table 6 and 7, it is clear that the inhibition by metal chelates is higher than that of a ligand and results are in good agreement with previous findings with respect to the comparative activity of free ligand and its complexes [38]. Such enhanced activity of metal chelates is due to the increased lipophilic nature of the metal ions in complexes. The increase in activity with concentration is due to the effect of metal ions on the normal cell process. The action of compounds may involve the formation of hydrogen bonds with the active centre of cell constituents, resulting in interference with the normal cell process. The antifungal and antibacterial activities of the ligands and metal complexes were tested in vitro against fungi such as Aspergillus niger, Penicillium chrysogenum, Fusarium moneriforme, Aspergillus flavus, and bacteria such as Escherichia coli, Bacillus subtilis, Staphylococcus aureus, and Bacillus subtilis, using paper disc and plate methods [39]. The compounds were tested at 1% and 2% concentrations in DMSO and compared with known antibiotics, namely griseofulvin and penicillin (Tables 6 and 7). Tables 6 and 7 show that the inhibition by the metal chelates is higher than that by the ligands, a result that is in good agreement with previous findings of comparable activity of the free ligands and their complexes [40]. This increase in the activity of the metal chelates is due to the increased lipophilicity of the metal ions in the complexes. The activity, which increases with concentration, is due to the effect of metal ions on normal cellular processes. The action of the compounds may involve the formation of hydrogen bonds with active sites on cellular components, resulting in the disruption of normal cellular processes [41].
Table 6: Anti-fungal activity of ligands
| Test compound | Antifungal growth |
| Aspergillusniger | |
| 1% | |
| L1 | -ve |
| Ni-L | -ve |
| Co-L1 | -ve |
| +ve control | +ve |
| -ve control (Griseofulvin) | -ve |
Ligandand Metal:+ve – Growth (Antifungal Activity absent), -ve-Growth (Antifungal Activity present), RG-Reduced Growth (More than 50% reduction in growth observed)
Table 7: Antibacterial activity of ligands and their metal complexes
| Test compound | Diameter of inhibition zone (mm) | |||||||
| E. Coli | Salmonella typhi | Staphylococcu saureus | Bacillus subtlis | |||||
| 1% | 2% | 1% | 2% | 1% | 2% | 1% | 2% | |
| L1 | 15.00±00 | 19.00±00 | 12.00±00 | 15.00±00 | 18.00±00 | 21.00±00 | 16.00±00 | 20.00±00 |
| Ni-L1 | 18.45±0.30 | 22.67±0.41 | 20.63±0.52 | 25.45±0.34 | 22.38±0.30 | 26.56±0.44 | 21.38±0.25 | 24.65±0.37 |
| Co-L1 | 13.67±0.42 | 17.90±0.60 | 15.76±0.59 | 18.80±0.44 | 19.76±0.53 | 23.70±0.64 | 16.69±0.68 | 21.78±0.67 |
| DMSO | -ve | -ve | -ve | -ve | -ve | -ve | -ve | -ve |
| Penicillin | 16.59±0.37 | 19.88±0.55 | 18.48±0.33 | 22.56.±0.61 | 23.11±0.29 | 25.34±0.40 | 20.46±0.41 | 23.10±0.60 |
Results provided as mean±SD (This experiment done three times, n=4), Ligand and Metal:-ve-No Antibacterial Activity, Zone of inhibition---mm

Fig. 5: Structure of schiff base ligand L1

Fig. 6: The proposed structure of the metal complexes. [When M= Ni(II) and Co (II)]
In the light of above discussion we have proposed octahedral geometry for Ni(II) and Co(II) complexes. On the basis of the physico-chemical and spectral data discussed above, one can assume that the ligand behave as dibasic, NO bidentate, coordinating via phenolic oxygen and imino nitrogen as illustrated in Fig.6. The complexes are biologically active and show enhanced antimicrobial activities compared to free ligand. Thermal study reveals thermal stability of complexes. The X-ray study suggests monoclinic crystal system for Ni(II) and Co(II) complexes.
The authors are grateful thank to sophisticated analytical instrument facility (SAIF), sophisticated test and instrument center (STIC), Kochi for providing elemental analysis (CHN). We are also grateful thank to Department of Chemistry, Pune University Pune for providing IR, NMR spectroscopy and TGA-DTA facilities, Department of Physics, Pune University Pune for providing X-RD facilities and we are also grateful thank to Department of Microbiology N. S. B. College, Nanded for providing Antibacterial and Antifungal activities.
This research did not receive any specific grant from funding agencies.
D. T. Sakhare is the sole author. The author read and approved the final manuscript.
The authors declare no conflicts of interest.
Sakhare DT. Synthesis characterization of some transition metal complexes of bidentate Schiff base and their antifungal and antimicrobial studies. Adv Appl Sci Res. 2015;6(6):10-6.
Sakhare DT. Synthesis characterization and antimicrobial activity of Schiff base derived from 2-hydroxybenzaldehyde with 2-amino-4,6-dimethylpyrimidin and their transition metal complexes. GIS Sci J. 2022;9(4):82-94. doi: 10.18001/GSJ.2022.V9I4.22.38968.
Raman N, Muthuraj V, Ravichandran S, Kulandaisamy A. Synthesis characterisation and electrochemical behaviour of Cu(II), Co(II), Ni(II) and Zn(II) complexes derived from acetylacetone andp-anisidine and their antimicrobial activity. J Chem Sci. 2003;115(3):161-7. doi: 10.1007/BF02704255.
Sakhare DT. Synthesis characterization and antimicrobial activities of some Mn(II) and Fe(III) complexes of biologically active bidentate ligands. J Chem Pharm Res. 2015;7(6):198-204.
Sakhare DT. Copper metal complexes of a pyrimidine based Schiff base ligand synthesis characterization and biological activity. J Xidian Univ. 2022;16(3):191-201.
Thaker BT, Tnadel PK, Patel AS, Vyas CJ, Jesani MS, Patel DM. Ynthesis and characterization of lanthanon complexes of 2-hydroxychalcones. Indian J Chem. 2005;44A:265.
Sakhare DT. Synthesis characterization and biological studies of aminopyrimidine Schiff bases and their transition metal complexes. Dickensian. 2022;22(4):65-77.
Singh NK, Singh DK, Singh SB. Dithiocarbamate complexes: a review. Synth React Inorg Met-Org Chem. 2002;32(4):703-20. doi: 10.1081/SIM-120004441.
Sakhare DT. Synthesis characterization and biological activities of new bidentate Schiff base ligand and their Co (II) metal complexes. Mater Today Proc; 2024. doi: 10.1016/j.matpr.2024.04.038.
Sakhare DT. Synthesis characterization and in vitro biological activities of novel bidentate Schiff base ligand and their cobalt(II) complexes. Juni Khyat. 2023;13(7):134-43.
Liu J, Zhang H, Chen C, Deng H, Lu T, Ji L. Interaction of macrocyclic copper(II) complexes with calf thymus DNA: effects of the side chains of the ligands on the DNA-binding behaviors. Dalton Trans. 2003;(1):114-9. doi: 10.1039/b206079p.
Sakhare DT. Synthesis characterization and biological activity of new Schiff bases 1-(((4,6-Dimethylpyrimidin-2-Yl) imino) methyl)Naphthalen-2-ol and their Fe (III) complexes. Juni Khyat. 2024;14;9(2):101-11.
Mohamed GG, Umar MM. Preparation characterization and biological activity of novel metal-NNNN donor Schiff base complexes. Spectrochimica Acta Part A: Molecular and Biomolecular Spectroscopy. 2005;62:1140.
Sakhare DT. Synthesis characterization and antimicrobial activity of Cu(II) complexes derived from heterocyclic Schiff bases ligands. Asian J Org Med Chem. 2022;7(2):41-7.
Raman N, Thalamuthu S, Dhaveethuraja J, Neelakandan MA, Banerjee SJ. DNA cleavage and antimicrobial activity studies on transition metal(II) complexes of 4-aminoantipyrine derivative. J Chil Chem Soc. 2008;53(1):1450–5. doi: 10.4067/S0717‑97072008000100025.
Baraldi PG, Pavani MG, Nunez MC, Brigidi P, Vitali B, Gambari R, Romagnoli R. Antimicrobial and antitumor activity of N‑heteroimine‑1,2,3‑dithiazoles and their transformation in triazolo‑imidazo and pyrazolopyrimidines. Bioorg Med Chem. 2002;10:449–456. doi: 10.1016/S0968‑0896(01)00294‑2.
Sakhare DT. Synthesis spectral thermal and antimicrobial activities of Mn(II) and Fe (III) Schiff base metal complexes. Int J Curr Res Chem Pharm Sci. 2015;2(7):1-8.
Sondhi SM, Johar M, Rajvanshi S, Dastidar SG, Shukla R, Raghubir R. Anticancer anti-inflammatory and analgesic activity evaluation of heterocyclic compounds synthesized by the reaction of 4-isothiocyanato-4-methylpentan-2-one with substituted o-phenylenediamines, o-diaminopyridine and (Un) substituted o. Aust J Chem. 2001;54(1):69-74. doi: 10.1071/CH00141.
Sakhare DT. Synthesis characterization of some Cu(II) complexes of bidentate Schiff base and their antimicrobial studies. J Med Chem Drug Discov. 2016;2(1):583-97.
Mangalagiu G, Ungureanu M, Grosu G, Mangalagiu I, Petrovanu M. Nouveaux derives pyrrolo-pyrimidiniques doues d activite antifongique ou antibacterienne in vitro [new pyrrolo-pyrimidine derivatives with antifungal or antibacterial properties in vitro]. Ann Pharm Fr. 2001;59(2):139-40. PMID 11320339.
Sakhare DT. Green synthesis characterization and biological evaluation of divalent transition metal complexes of substituted aminopyrimidine novel Schiff base ligand science. J Chem. 2025;13(1):1-10. doi: 10.11648/j.sjc.20251301.11.
Sakhare DT. Synthesis characterization and antimicrobial studies of some transition metal complexes of Schiff bases. Int J Curr Res Chem Pharm Sci. 2015;2(6):28-34.
Sakhare DT. Synthesis characterization and antimicrobial activities of aminopyrimidine Schiff base ligand and their complexes of Cu(II) and Mn(II), Nigerian. Res J Chem Sci. 2025;13(1):18-31.
Sakhare DT. Syntheses characterization of some transition metal complexes of bidentate Schiff base and their antimicrobial activities. Chem Sin. 2015;6(6):1-6.
Osowole AA, Akpan EJ. Synthesis spectroscopic characterisation in vitro anticancer and antimicrobial activities of some metal(II) complexes of 3-{4, 6-dimethoxy pyrimidinyl iminomethyl naphthalen-2-ol. Eur J Appl Sci. 2012;4(1):14-20.
Sakhare DT. Synthesis characterization and antimicrobial studies on Schiff base derived from 2-amino 4,6-Dihydroxypyrimidine and benzaldehyde and its cobalt complexes. Int J Food Nutr Sci. 2022;11(Suppl 1):970-82.
Sakhare DT. Synthesis characterization and biological activity of Ni(II) complexes derived from aminopyrimidine Schiff base ligand. J Phys Chem Mater. 2025;12(3):8-15.
Sakhare DT. Synthesis characterization and biological evaluation of Schiff base ligand and their Fe (III) complexes. Int J Adv Sci Eng. 2024;11(1):3788-97. doi: 10.29294/IJASE.11.1.2024.3788-3797.
Osowole AA, Yoade RO. Synthesis characterization and biopotency of some mixed ligand metal(II) complexes of 4-amino-6-hydroxy-2-mercapto pyrimidine and 2,2′-bipyridine scientific. J Appl Res. 2013;4:101-6.
Sakhare DT. Synthesis characterization and spectroscopic study of new 3-{[(4,6-dihydroxy pyrimidin-2-yl) imino] methyl}napthalen-2-ol schiff-base ligandand it’s transition metal complexes. Int J Sci Res Chem Sci. 2024;11(1):3788-97.
Akila UM, Rajavel R. Evaluation of the pharmacological properties of schiff base mixed ligand Cu (ii), Co (ii), Ni (ii) and Zn (ii) complexes derived from 2-((e)-(4 nitrophenylimino) methyl) phenol. International Journal of Recent Scientific Research. 2013;4(9):1385-90.
Sakhare DT. Synthesis characterization and antimicrobial studies of some transition metal complexes of Schiff bases. Int J Curr Res Chem Pharm Sci. 2015;2(6):28-34.
Avaji PG, Reddy BN, Patil SA, Badami PS. Synthesis spectral characterization biological and fluorescence studies of lanthanum(III) complexes with 3-substituted-4-amino-5-hydrazino-1,2,4-triazole Schiff bases. Transition Met Chem. 2006;31(7):842-8. doi: 10.1007/s11243-006-0066-5.
Pargathi M, Reddy KH. Synthesis spectral characterization and DNA interactions of copper(II) and nickel(II) complexes with unsymmetrical Schiff base ligands. Indian J Chem. 2013;52A:845-53.
Sakhare DT. Synthesis characterization and biological activity of new Schiff bases derived from aminopyrimidine and their metal complexes. Int J Sci Res Sci Technol. 2022;9(17):160-73.
Sakhare DT. Synthesis characterization and in vitro biological activities of Co (II) complexes of 2-(4-Methaylbenzylideneamino) pyrimidine-4, 6-diol. Current Pharma Research. 2019;9(4):3335-44.
Despande VG, Shaha S, Despande MM, Habib SI, Kulkarni PA. Synthesis spectroscopic characterization and biological activity of substituted aminopyrimidine Schiff‑base ligand and their metal complexes. Asian J Biochem Pharm Res. 2013;1(3):63-70.
Sakhare DT. Synthesis characterization and antimicrobial activity of novel 2-amino-4,6-dimethylpyrimidin and 2-hydroxy-5-nitrobenzaldehyde Schiff base ligand and their transition metal complexes. Int J Adv Appl Res. 2024;5(40):35-44.
Sakhare DT. Synthesis spectroscopic characterization in vitro and antimicrobial activities of some metal (ii) complexes of 5-choloro-2-(((4,6-dimethoxypyrimidin-2-yl) imino) methyl) phenol. International Journal of Scientific Research in Chemistry. 2024;9(6):1-9. doi: 10.32628/IJSRCH24961.
Sakhare DT. Synthesis characterization and antimicrobial activities of some transition metal complexes of biologically active bidentate ligands. Inorg Chem Indian J. 2015;10(4):142-7.
Sakhare DT. Heteroleptic metal complexes of a pyrimidine based Schiff base ligand synthesis characterization and biological activity. Int J Sci Res Sci Eng Technol. 2025;12(5):150-9. doi: 10.32628/IJSRSET251367.